A estimativa da área valvar na estenose mitral (EMi), a partir de diferentes métodos ecocardiográficos, é parte fundamental na avaliação da gravidade da disfunção valvar, contudo sabemos que as diferentes formas de fazer esta estimativa sofrem limitações técnicas (vide a postagem anterior).
A planimetria, como já sabemos, é considerada o método de referência para a estimativa da área valvar, mas sua acurácia está condicionada à boa visualização, no plano correto, do orifício valvar, o que muitas vezes não é possível (seja por janela acústica limitada ou calcificação/desorganização do aparato valvar mitral).
Os outros métodos, como PHT e equação de continuidade, também sofrem interferência de condições hemodinâmicas, complacência atrioventricular e alterações do ritmo cardíaco.
A limitação destes métodos pode, portanto, levar a um cenário de parâmetros discordantes (!!!), fazendo com que, muitas vezes, sejam necessários outros métodos complementares, como o estudo transesofágico com avaliação tridimensional da valva mitral.
Um parâmetro recentemente descrito e denominado “dimensionless index – DI” foi utilizado para avaliar a gravidade da EMi de etiologia degenerativa (em breve trago este assunto por aqui), que consiste na divisão do VTI do fluxo da via de saída pelo VTI do fluxo mitral (à semelhança do cálculo do índice de Doppler da estenose aórtica).
Vamos então trazer um estudo que avaliou a aplicabilidade deste parâmetro no contexto da EMi reumática.

Foram avaliados, de forma retrospectiva, 406 casos de EMi reumática em um estudo unicêntrico. Os pacientes foram divididos em 03 coortes diferentes:
- Grupo Derivação: 176 pacientes com EMi reumática isolada que foram submetidos a estudo ecocardiográfico transtorácico;
- Grupo ETT (validação): 121 pacientes com EMi reumática que realizaram ecocardiograma transtorácico (ETT);
- Grupo ETE (validação): 111 pacientes com EMi reumática que realizaram tanto ecocardiograma transtorácico quanto ecocardiograma transesofágico (ETE).
Como dito, o cálculo do DI foi realizado pela divisão da VTI do fluxo na via de saída do ventrículo esquerdo (VSVE) pela VTI do fluxo mitral. Em todos os grupos, a área valvar mitral foi calculada pela planimetria e pelo método do PHT. A equação de continuidade foi utilizada no grupo derivação e no grupo ETE, mas não no grupo ETT, uma vez que este grupo continha pacientes com regurgitação mitral ou estenose aórtica significativas.
Nos casos de fibrilação atrial, a média de 05 ciclos foi utilizada para as medidas do Doppler.
EMi importante foi considerada como aquela com área valvar ≤ 1,5 cm². No grupo derivação, foram considerados portadores de EMi importante aqueles com área valvar ≤ 1,5 cm² em todos os 03 diferentes métodos (planimetria, PHT e equação de continuidade).
A população do estudo foi composta com pacientes predominantemente do sexo feminino (71.9%), com idade média de 57.5 ± 13.5 anos, estando 37.7% dos participantes já em fase sintomática da doença. O seguimento médio foi de 6.32 anos (4.22-10.3 anos).

Ao todo, 231 pacientes (56.9%) foram classificados como portadores de EMi importante (grupo validação – 45.4% / grupo ETT – 21.6% / grupo ETE – 91.9%). Entre os 03 diferentes grupos, 70.4% dos pacientes tinham EMi isolada enquanto que 29.6% apresentavam doença valvar múltipla.

No grupo derivação, foi observada uma correlação significativa entre os métodos tradicionais de estimativa da área valvar mitral:
- Planimetria e PHT: r = 0.641, p < 0.001;
- Planimetria e equação de continuidade: r = 0.679, p < 0.001;
- PHT e equação de continuidade: r = 0.579, p < 0.001).
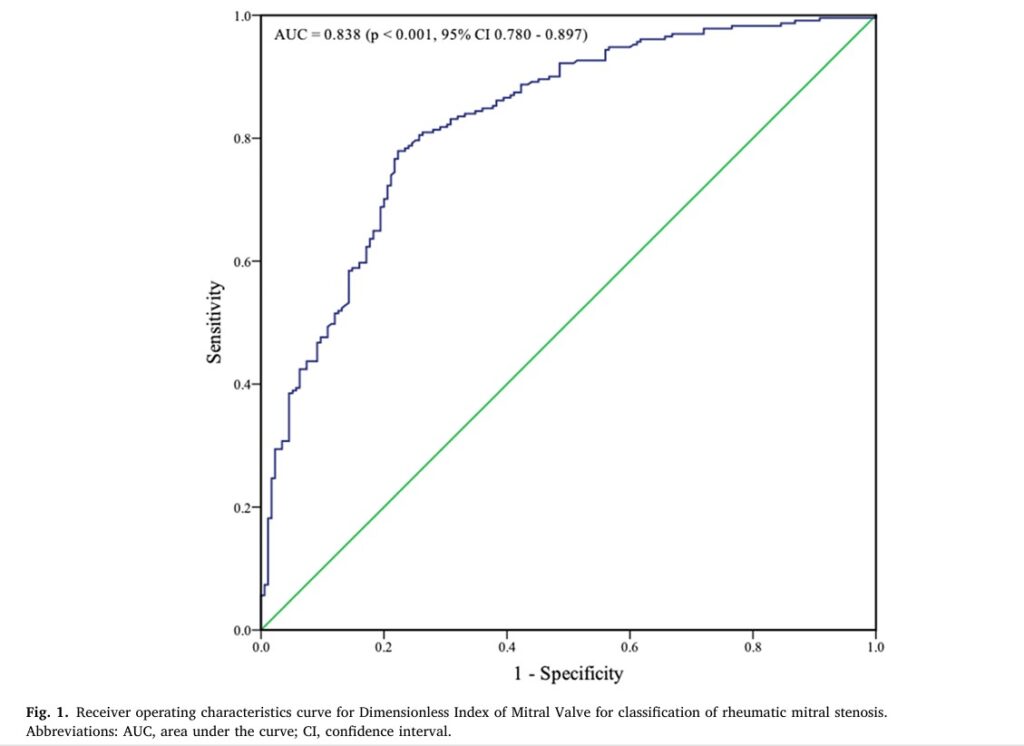
Quando a comparação foi feita com o DI, o coeficiente de correlação entre o DI e a planimetria foi r = 0.619, p < 0.001; já entre o DI e o PHT, foi r = 0.579, p < 0.001; e comparando com a equação de continuidade, r = 0.897, p < 0.001. A AUC foi de 0.838 (95%IC: 0.780-0.897, p < 0.001).

Nenhum ponto de corte foi capaz de identificar EMi importante (área ≤ 1.5 cm²) com sensibilidade e especificidade superiores a 80%. Um valor de DI ≤ 0.34, porém, apresentou a melhor combinação com sensibilidade de 78.5% e especificidade de 75.8%.
Um DI ≤ 0.25 e um DI ≥ 0.40 apresentaram alta especificidade para identificar EMi verdadeiramente importante e EMi não severa, respectivamente.

A análise correlação no grupo ETT, comparando DI com planimetria foi r = 0.441, p < 0.001, enquanto que a comparação com o PHT apresentou r = 3.94, p < 0.001. No grupo ETE, por sua vez, a correlação do DI com a planimetria (3D) foi r = 0.648, p < 0.001. Neste grupo, um DI ≤ 0.25 mostrou especificidade de 93.8% para detectar EMi importante e um valor ≥ 0.40 apresentou especificidade de 91.4% para determinar a EMi como não severa.
Naqueles pacientes com outras valvopatias associadas, o grupo com insuficiência mitral significativa apresentou AUC de 0.792 (95%IC: 0.689-0.874), enquanto que aqueles sem insuficiência mitral significativa, a AUC foi de 0.845 (95%IC: 0.801-0.883. Aqueles com estenose aórtica, a AUC foi de 0.829 (95%IC: 0.674-0.930).
Na análise univariada, em relação ao valor prognóstico deste parâmetro, para cada 0.01 ponto de incremento no DI, foi observado HR 0.975, 95%IC: 0.959-0.990), sendo o principal desfecho associado a estes resultados a necessidade de intervenção na valva mitral.
Na análise multivariada, um aumento de 0.01 no DI mostrou HR 0.981, 95%IC: 0.964-0.998, se mostrando um parâmetro associado, de forma independente, com o desfecho composto do estudo (mortalidade por todas as causas e necessidade de intervenção na valva mitral).
Segundo os autores, os resultados mostram que o DI se associou, de forma significativa, com a gravidade da EMi reumática, com capacidade de diferenciar EMi importante de EMi não importante com alta especificidade, porém com uma modesta sensibilidade. Ainda, houve correlação com o desfecho composto analisado na amostra.
Lembrando que este parâmetro não deve substituir a estimativa da área valvar na avaliação da EMi, porém pode ser utilizado como parâmetro auxiliar naqueles casos em que existem parâmetros discordantes, podendo excluir (≥ 0.40) ou indicar (≤ 0,25) a necessidade de complementação diagnóstica.
Graduado em medicina pela Universidade Potiguar (UnP). Possui residência em Clínica Médica pelo Hospital Universitário Onofre Lopes – HUOL (UFRN) e em Cardiologia pelo Procape – UPE. Porta o título de especialista em Cardiologia pela Sociedade Brasileira de Cardiologia (SBC) e é pós-graduado em Ecocardiografia, pela ECOPE.