A amiloidose, doença sistêmica de depósito, tem como subtipos mais comuns as formas de cadeia leve (AL) e relacionada à transtirretina (ATTR, esta podendo ser dividida em hereditária (ATTRv) ou selvagem (ATTRwt).
O acometimento cardíaco tem se mostrado mais comum do que se pensava, especialmente nos casos de amiloidose ATTRwt e, nestes casos, a disfunção cardíaca constitui um fator prognóstico importante. Desta forma, o diagnóstico precoce é essencial e impacta, de forma direta, nas opções de tratamento e no prognóstico dos pacientes.
O ecocardiograma continua sendo um pilar diagnóstico nestes pacientes, embora a confirmação diagnóstica requeira análise complementar com outros métodos.
Existe, contudo, poucos dados acerca das diferenças, do ponto de vista dos achados ecocardiográficos, entre os subtipos de amiloidose. Tanto que os escores utilizados para estadiamento da doença não levam em consideração parâmetros de avaliação cardíaca por métodos de imagem.
Trago um estudo cujo objetivo foi identificar aspectos ecocardiográficos distintos entre diferentes tipos de amiloidose, bem como avaliar o significado prognóstico desses achados.

Estudo retrospectivo com pacientes que foram submetidos a análise ecocardiográfica nos diferentes campus da Mayo Clinic entre 2010 e 2020. O diagnóstico de amiloidose cardíaca (CA) foi baseado nas recomendações de diretrizes e todos os ecocardiogramas foram realizados dentro do primeiro ano após a confirmação diagnóstica da doença.
Para aqueles pacientes com vários ecocardiogramas, foi considerado o exame mais próximo da data de diagnóstico.

As variantes ATTRv e ATTRwt foram diferenciadas a partir de testes genéticos ou pela determinação por espectometria.
Ainda, foram incluídos biomarcadores laboratoriais de até 01 ano antes e até 06 meses depois após o ecocardiograma.
Os sistemas de estadiamento Mayo para amiloidose AL e o Expanded National Amyloidosis Centre (NAC) para amiloidose ATTR foram utilizados.
Em relação aos parâmetros ecocardiográficos, a avaliação das funções sistólica e diastólica foram realizados de acordo com as diretrizes vigentes. Regurgitação mitral e tricúspide foram consideradas quando pelo menos moderada e a estenose aórtica foi considerada em qualquer estágio.
A relação apical-basal do strain foi obtida pela divisão da média da taxa de deformação dos segmentos apicais e dos segmentos basais pelo strain longitudinal. O volume sistólico ejetado (stroke volume – SV) também foi calculado e indexado pela superfície corporal (SVi). Os pontos de corte do SVi considerados foram de 23 ml/m² paral AL-CA e de 38 ml/m² para ATTR-AC, mas para simplificar, um valor < 35 ml/m² foi considerado anormal.
Um total de 1969 pacientes com amiloidose cardíaca foram avaliados. Destes, 57.3% tinham AL-CA (n = 1.128), 31.7% tinham ATTRwt-CA (n = 624) e 11%, ATTRv-CA (n = 216). O tempo médio entre o diagnóstico e o ecocardiograma foi de 40 dias (IQR, 0-183 dias). Já em relação à análise laboratorial, 93-98% dos resultados de NT-proBNP, troponina, cadeias leves e creatinina foram disponibilizados em até 30 dias após o ecocardiograma.
Pacientes com o subtipo ATTRwt eram mais velhos, predominantemente do sexo masculino e com maior incidência de doença arterial coronária (DAC), hipertensão arterial (HAS), doença pulmonar crônica, fibrilação atrial (FA) e insuficiência cardíaca (IC).
Já os pacientes com AL-CA eram predominantemente negros e menos propenso à doença renal crônica (DRC).

Os pacientes com os dois subtipos de ATTR-AC apresentaram maior (1) espessura diastólica da parede posterior, (2) espessura relativa e (3) índice de massa. Por outro lado, estes pacientes apresentaram fração de ejeção (FE) do ventrículo esquerdo (VE) menor em comparação com pacientes com AL-CA.
O SVi foi menor entre os pacientes com ATTR-wt comparados com os pacientes com AL-AC. Aqueles com ATTR-wt CA tiveram maior volume atrial esquerdo indexado e uma proporção maior de estenose aórtica (EAo), maior dilatação do ventrículo direito (VD) e também mais disfunção do VD comparados tanto com os pacientes com ATTRv-CA quanto com os pacientes com AL-CA.
O strain global longitudinal (SGL) foi mais alterado e a relação apical-basal maior nos pacientes com ATTR-CA. Já o strain de parede livre do VD esteve anormal com mais frequência no grupo dos pacientes com ATTRwt-CA. Derrame pericárdico foi mais comum nos pacientes com AL-CA.
Após ajuste por histórico de FA, idade e IC, o volume indexado do átrio esquerdo foi maior nos pacientes com ATTR-CA comparando com aqueles com AL-CA, sem haver diferenças entre os subtipos de ATTR.
Após ajuste para doença pulmonar, disfunção do VD foi mais frequente no grupo com ATTRwt-CA em relação aos outros grupos.


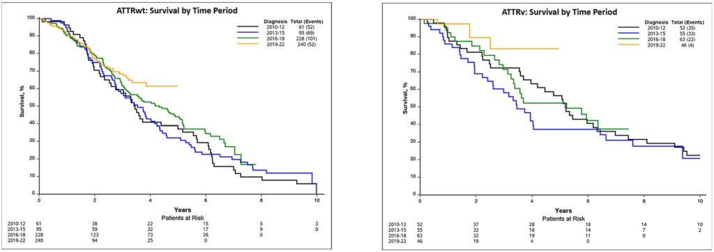
Durante o seguimento médio de 24 meses, 953 dos 1.968 pacientes morreram, com uma taxa de sobrevida de 70% em dois anos e de 49% em 5 anos. Isso incluiu 585 pacientes com AL-CA (sobrevida de 64% em dois anos), 274 ATTwt-CA (sobrevida de 77% em dois anos) e 94 pacientes com ATTRv-CA (80% de sobrevida em dois anos).

Após análise multivariada para determinar quais parâmetros ecocardiográficos foram fatores independentes de mortalidade, temos que nos pacientes com AL-CA, o SVi, função ventricular direita, bem como idade e sexo foram fatores independentemente associados à mortalidade. Nos pacientes com ATTR-CA, SVi e idade se associaram à mortalidade.



Nesta cohort, um estágio prognóstico mais elevado (escores de avaliação) teve associação com mortalidade em todos os grupos.






O impacto da adição de parâmetros ecocardiográficos nos sistemas de estadiamento foi avaliado e ficou observado que, para AL-CA, tanto o SVi quanto função ventricular direita permaneceram como fatores independentes associados à mortalidade quando ajustado para os diferentes estágios da doença.



O estudo observou que (1) há importantes diferenças ecocardiográficas entre os tipos de amiloidose cardíaca. Embora um aumento da espessura diastólica da parede, disfunção diastólica e disfunção do VD fossem comum em todos os pacientes, naqueles com o subtipo ATTR foram observados maiores valores de índice de massa, menores FEVE, piores valores de SGL do VE e maiores relações apical-basal strain. Derrame pericárdico foi mais comum entre os pacientes com AL-CA e aqueles com ATTRwt-CA tiveram mais frequentemente EAo, maiores volumes indexados do AE e disfunção ventricular direita.

(2) Houve diferença de sobrevida entre os diferentes tipos de AC, sobretudo nos 03 primeiros anos, tendo o subtipo AL-CA apresentado pior prognóstico. Contudo, aqueles pacientes com AL-CA que sobrevivem a fase inicial do tratamento, parecem ter uma sobrevida maior posteriormente.
As diferenças nos achados ecocardiográficos podem ser justificadas pelo mecanismo de ação de cada subtipo ou pelo diagnóstico mais tardio que habitualmente ocorre na ATTR-CA.
A ATTR-CA tem um mecanismo primário de infiltração causando disfunção orgânica, enquanto que a AL-CA possui, além do mecanismo de infiltração, efeito citotóxico direto. Assim, dada a uma maior agressividade da AL-CA, possa ser que haja tempo insuficiente para que as adaptações compensatórias, como hipertrofia ventricular, ocorram.



Graduado em medicina pela Universidade Potiguar (UnP). Possui residência em Clínica Médica pelo Hospital Universitário Onofre Lopes – HUOL (UFRN) e em Cardiologia pelo Procape – UPE. Porta o título de especialista em Cardiologia pela Sociedade Brasileira de Cardiologia (SBC) e é pós-graduado em Ecocardiografia, pela ECOPE.